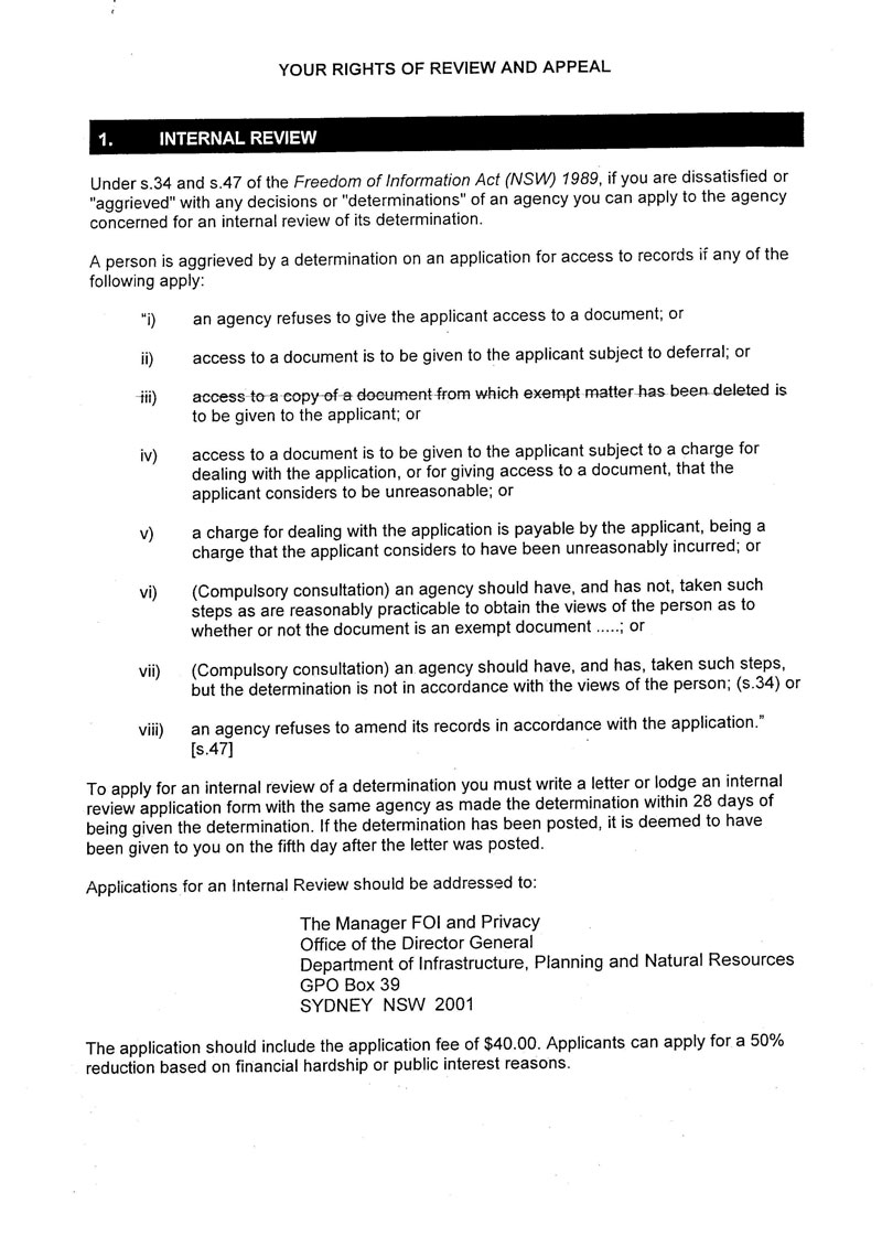
Campaign Releases

Catherine Hill Bay Development back to court – National Trust – 18th August 2011

Attached … The announcement by the Catherine Hill Bay Progress Association that it is seeking an injunction to stop a subdivision at Catherine Hill Bay responded to the rejection of a development control plan accompanying the subdivision proposal. The development control plan was found to have many shortcomings and needed to be ”substantially enhanced”.

Opinion Piece on recent development approval – 21st May 2011

Attached … This opinion piece has been prepared by members of the Catherine Hill Bay Progress association in response to the recent development approval at CHB.

Traffic Submission – 3rd July 2011

Attached …Submission to Lake Macquarie Council on Traffic Problems

Part 3A Scrapped – 6/4/2011

Attached … NSW Government to scrap Part 3A

History of Non-Consultation – 19th February 2011

Attached … The Rose group has an exceptionally poor record in terms of consultation at Catherine Hill Bay .

Heritage Council report and National Trust Media Release on listing Catherine Hill Bay on the State Heritage Register – 9th November 2010

Submission by the CHBPA supporting State Heritage Listing – 25th August 2010

Attached … The Catherine Hill Bay Progress Association and Dune Care Inc (CHBPA) supports the intention to consider listing on the State Heritage Register of the Catherine Hill Bay Cultural Precinct

State Heritage Listing Submission – 19th August 2010

Attached is information relating to the potential listing of the Catherine Hill Bay Cultural Precinct on the State Heritage Register. If you support the listing please send a letter of support to the Heritage Office. Click here to download Submission letter. Letters must reach the Department by the 25 th August.

The Final Fight – 5th August 2010

Attached … There is a new proposed State Environmental Planning Policy (SEPP) for the two sites that cover the land where Rose group wish to develop at Catherine Hill Bay and Gwandalan. We have been advised that what is proposed is worse than that which would have been allowable under the previous approval signed by the former Planning Minister, Frank Sartor.

Heritage Listing of Catherine Hill Bay – Department of Planning – 28th July 2010

Attached … The Catherine Hill Bay and Middle Camp villages in Lake Macquarie will be given the State’s highest level of heritage protection, under a proposal placed on public exhibition today.More detail and maps are available on the DOP website under the “Explanation” heading.

Information Newsletter – 19th October 2009

Attached … The Association has had a consistent position since 2006 that development may be appropriate on the Moonee Colliery and former Wallarah Colliery sites. However it opposed the massive number of houses proposed by the developers at the Bay-and has been vindicated by the Independent Hearing and Assessment Panel and the Land and Environment Court.

The Institutional Design of the NSW planning System – John Mant – 6th October 2009

Attached … Given the role of the lobby organisations for the development industry in pushing for the reforms, corporatism is a fair description of nature of the changes.

Democracy has Death Rattles in NSW – John Pitt – 5th October 2009

Attached … Labor will limp on regardless, pretending all is well in the state of NSW. The powerbrokers in Macquarie Street know democracy is dead, but will they say the last rites? Not a bit of it. Like Gordon Brown’s Labour Government in the UK they will continue to mouth platitudes, make plans for jobs outside of government — nice fat earners of course — and to hell with the rest of us.

National Trust ‘disappointed’ at Garrett decision – 28th February 2009

Attached … We are disappointed at Minister Garrett’s decision given that Catherine Hill Bay had been nominated by the National Trust for the National Heritage List. Had the Listing been accepted the Minister would have had the power to reject this dreadful development.

Unsustainable Coastal Development – National Trust December 2008

Page1Page2 …The local community, the National Trust and the environmental movement have been fighting major housing developments at idyllic Catherine Hill Bay…

Catherine Hill Bay Progress Association receives an award for Community Involvement from the NSW Coastal Conference – 8th November 2008

Attached … Association President, Sue Whyte, accepted the award on behalf of the Catherine Hill Bay community. Nominated by the Mayor of Lake Macquarie, Councillor Greg Piper, the award recognises the “Catho” community’s exceptional level of involvement in promoting and protecting coastal communities and environments.

Protest Rally in Hyde Park on 19th October 2008 – 10am

Attached … The NSW government has changed the laws governing planning, environmental assessment and heritage protection. The Planning Minister now has extraordinary power to override local councils, community wishes and expert opinion.Rally Against Inappropriate Development on Sunday, 19th October 10.00 a.m. – 2.00 p.m. , Hyde Park near St James station marching to Parliament House. Be part of state-wide action.

Earlier Campaign Releases

Catherine Hill Bay Progress Association receives an award for Community Involvement from the NSW Coastal Conference – 8th November 2008

Attached … Association President, Sue Whyte, accepted the award on behalf of the Catherine Hill Bay community. Nominated by the Mayor of Lake Macquarie, Councillor Greg Piper, the award recognises the “Catho” community’s exceptional level of involvement in promoting and protecting coastal communities and environments.

National Trust calls on Peter Garrett to save Catherine Hill Bay – 4th September 2008

Attached … Due to the presence of threatened species at Catherine Hill Bay, development has been deemed a ‘controlled action’ under the Commonwealth Environmental Protection and Biodiversity Conservation Act. Final development approval is required from the Commonwealth Minister for the Environment, Peter Garrett.

Additionally, the Trust has nominated Catherine Hill Bay for the National Heritage List on the basis of its environmental and built heritage significance. Minister Garrett may decline development approval under the Act or place an emergency National Heritage Listing on the site to protect it.

We also now have some new people in the NSW Government to whom we should be writing. Please write letters to Peter Garrett backing up the call from the National Trust to intervene to save Catherine Hill Bay. Attached are some addresses.

Climiate Change Submissions – 11th July 2008

The House of Representatives Standing Committee on Climate Change, Water, Environment and the Arts held a meeting on the 10 th July that representatives of the Catherine Hill Bay Progress Association attended. This committee is inquiring into and reporting on issues related to climate change and environmental pressures experienced by Australian coastal areas, particularly in the context of coastal population growth. It was interesting that of the 10 members of the House of Representatives, who are on the committee, only the 5 Labor Party committee members attended.

Barry Laing, a long time member of the CHBPA, made a presentation and commented that “the committee were listening well and understood how CHB illustrates the predicament of people wanting to protect coastal communities and environments in NSW under the Part 3A regime. They made it clear that they felt powerless to do anything about the current developments but they were interested to hear our suggestions as to what they could do at a Federal level, as in our submissions (federal coordination of coastal policy, research and data collection, reinstatement of the coastal projects terminated by the Howard Govt, education campaign, new laws for coastal policy). They are interested to know how far the federal endangered species laws extend into controlling whole developments such as the CHB one”

The Catherine Hill Bay Progress Association submission and Barry Laing submission are attached.

National Trust (NSW) Nominates Most At Risk For World Heritage Day – 18th April 2008

Attached …The National Trust is strongly opposed to the current proposals from two developers (Rosecorp and Coal & Allied) to build 900 homes. Mr Quint says the developments, one of which will dominate the coastal headland of the village, will increase the number of homes at Catherine Hill Bay 10 fold. “The Trust has major concerns about the environmental impact of the development, and the destruction of the historical value of the tiny village.”

Subversion of the Planning Process – 14th April 2008

The lack of transparency which surrounded the government’s dealings with large landholders in the Lower Hunter in 2006 still persists.

Planning Minister Frank Sartor in May 2007 released the first report by the Independent Hearing and Assessment Panel on the Rosecorp concept plan in Catherine Hill Bay , to the public with such comments as:

“Today is an important step in the on-going process of consulting with the community and ensuring the proposal is subjected to a rigorous assessment process.”

“Clearly the process is working as it should and the panel is doing its job to examine the project in a thorough and transparent way”

Where has this “transparency” gone?

For the last six weeks we have been trying to get the subsequent reports on the second concept plan put forward by the Rose group and the report on the concept plan by Coal and Allied by the Panel released. One of these reports was with the Minister four months ago. We have made multiple requests, some under FOI. Attached is some correspondance from the Department of Planning.

Ms Sylvia Hale delivery in parliament – 9th April 2008

Ms Sylvia Hale, from the Greens,delivered in parliament on the evening of the 9th April these observations, following the successful call for papers detailing the Rosecorp and Coal and Allied dealings with the Minister for Planning, Mr Frank Sartor. Attached is herspeech

Response from Federal Parliament – Peter Garrett AM – 7th April 2008

The Progress Association has referred both development proposals from Rose group and Coal and Allied to the Federal Government. Attached is the update on the status of those proposed development proposals.

Parliamentary Call for Papers relating to the application by Rosecorp and Coal & Allied for approval under Part 3A – 8th April 2008

On Tuesday Sue Whyte from Catherine Hill Bay, Kevin Spencer from Gwandalan, Sue Wynn and Peter Morris from URGE went to State Parliament to ask the cross benches to support a call for papers by Sylvia Hale of the Greens.

The documents that were requested from the Department of Planning relate to any application by Rosecorp and Coal and Allied for approval under part 3A of the Environmental Planning and Assessment Act 1979 to carry out residential subdivisions of sites at Catherine Hill Bay, Moonee Beach, Nords Wharf and Gwandalan. As well documents relating to any proposal for listing sites in these areas as State Significant and any reports on the ecology of these sites were also requested.

This call for papers went through today with no debate. The documents will be available on the 24 th April, at State Parliament

The War on Heritage – National Trust of Australia – Dr. Zeny Edwards – 22nd February 2008

Attached … Then there is Part 3(A). On Sunday, 24 February, the National Trust will be in the forefront of a mass rally to prevent the development of over 900 dwellings in the Central Coast coalmining workers’ settlement of Catherine Hill Bay, a historic beachfront village of 100 homes. The place is a rare gem, rich in cultural heritage, featuring intact buildings and streetscapes from 1870s and notable for the biodiversity of its setting, home of many identified endangered species. A development of this scale would destroy its heritage and environmental values. The Interim Report to Minister Sartor by an Independent Panel led by Heritage Council Chair Gabrielle Kibble considered developer Rosecorp’s original proposal for 600 houses ‘unacceptable’. That development was rejected by the Land and Environment Court . The Department of Planning recommended against development at the Bay. Yet once again the dreaded Part 3(A) rears its ugly head. Minister Sartor has the authority to override State environmental and heritage legislation to green-light the Catherine Hill Bay proposals.

National Trust supports our campaign – 19th February 2008

Attached …Newsletter sent to National Trust members urging their support to help a coastal gem from destruction

Protest Rally Sunday 24th February 2008

Attached …Come and draw a line in the sand to say “NO MORE DEVELOPMENT ON THE WALLARAH PENINSULA”

Meeting Sunday 20th January 2008

The three communities of the Wallarah Peninsula , Catherine Hill Bay , Nords Wharf and Gwandalan met on Sunday 20 th January to discuss the proposed developments on the Wallarah Peninsula . The deadline for public comment draws near for the development proposals that will add 1090 new homes to these areas. All objections have to be in to the Department of Planning by the 1 st February. Many residents have concerns about environmental impacts, traffic safety and damage to heritage areas.

The Mayor of Lake Macquarie Greg Piper and the Federal member Jill Hall attended and offered their support.

A decision on the Rose group proposal for Catherine Hill Bay , which will add another 600 houses plus1800 squares of retail and further holiday accommodation plus apartments on the clifftop, is still waiting a report from the Planning Department before going to the Minister for Planning Mr Frank Sartor for a final determination. As part of this Rose group proposal a further 220 houses will also be built at Gwandalan.

Altogether nearly 2000 new homes will be built on the fragile Wallarah Peninsula , an area that for the last 40 years everyone including the Council, all Planning Bodies and the State Government said should have NO DEVELOPMENT.

Rosecorp is threatening legal action over our website Rosecorp’s solicitors have written to the Association demanding that the “before” and “after” images of a notional schematic development. The company threatened legal action if they were not removed. The Association has removed the material Rosecorp complained about, and has invited Rosecorp to provide information in response to specific questions within a specified period. The Association’s solicitors rejected the Rosecorp demands as spurious.

Read the Rosecorp letter and our letter in response.

Coal & Allied’s meeting – Friday 17th November 2006

Coal and Allied, a subsidiary of Rio Tinto, and the communities of Catherine Hill Bay and its neighbour, Nords Wharf , met in somewhat strained circumstances on Friday 17 November 2006. Coal and Allied plodded through its story at an Information Session, but when the people had heard enough they voted against the company’s proposed development and most walked out. Not a good beginning, and indicative of the community’s deep anger at the deal between Mr Sartor and Coal & Allied and RoseCorp to facilitate development on land zoned for environmental protection. The Progress Association is hopeful of a constructive relationship with Coal and Allied in the mid-term, similar to that created with Stockland and its predecessor at North Wallarah.

Press Release – Wednesday 15th October 2006

On Tuesday tiny Catherine Hill Bay, in the Swansea electorate, had its true worth recognised when it was named by Keep Australia Beautiful as the friendliest beach with the best “beach spirit” and winner of the KAB Clean Beach Challenge in the Hunter.

On Friday it will be fighting for its life and its rich heritage of coal mining, beach and bush when it faces up to one of the world’s largest coal/mineral companies, Rio Tinto, which has development plans for the tiny heritage village (of only about 100 dwellings, mainly miners’ cottages).

The Planning Minister, Mr Sartor, has made a deal with Rio Tinto and another developer, RoseCorp, to divide up the conservation-zoned land around the village for housing — in total 10 times the size of the existing village, bigger than Charmhaven, three times bigger than Swansea Heads, and a third bigger than Pelican and Nords Wharf combined.

The first round on Friday 17 November will see Coal and Allied, the Rio Tinto subsidiary, hold an “information session” for residents from Catherine Hill Bay and Nords Wharf to outline its intentions under Mr Sartor’s controversial Part 3A of the planning act.

The briefing, in the surf club, begins at 6pm .Residents will meet at 5.30pm in the main car park at the beach to march to the information session with banners — reminiscent of the protest march in 1958 through the village to the mine in support of miners engaged in a 203-hour underground sit-in against sackings and the failure of the State ALP Government to provide relief.

Jack Mundey joins the fight!

Jack Mundey, an authentic working class hero who stood up to developers to protect the State’s heritage, has agreed to be the Patron of the Campaign to Save the Wallarah.

Press Release – Sunday 22 October 2006

The State Government has sacrificed the unique heritage village of Catherine Hill Bay to create a half billion dollar windfall for a developer, the town’s Progress Association said today.

The comments followed an angry residents’ meeting at the weekend in response to the Lower Hunter Regional Strategy which was announced last week.

The Strategy provides RoseCorp, a Sydney developer, with a “development footprint” for about 600 dwellings adjacent to and intruding into Catherine Hill Bay village, which has only 100 houses, most of them miners’ cottages dating from the 19 th and early 20 th century.

“The Premier’s Office assured us last month that it was the Premier’s personal wish that the ‘working class heritage’ of the Bay be protected under the Strategy,” the Association Secretary, Brian Cogan, said.

“The Minister for Planning, Mr Sartor, told me last month that he was prepared to list the village on the State Heritage Register. This is now unlikely because his negotiations will result in the town’s heritage values being overwhelming by new development.”

“In NSW today, it seems that such undertakings by even the Premier and Planning Minister are sufficient to stand in the way of coastal development.”

“Broadly speaking we endorse the broad vision of the Regional Strategy but at Catherine Hill Bay it will give development rights on coastal land where no such rights currently exist and the land is zoned for various forms of conservation.

“Mr Sartor has changed all that at a stroke of a pen, and the beneficiary is not the communities of the Lower Hunter or Central Coast , but a development company.

“With 600 dwellings at about $750,000 each the windfall gain to the developer is about half a billion dollars for a development which otherwise is contrary to all relevant established planning policies, including Coastal Policy, and against the wishes of the local councils,” Mr Cogan said.

Mr Cogan said the Association decided to support the National Trust which has called for a “proper, independent and thorough heritage and environmental assessment” of the area “to preserve the historic, aesthetic and landscape of this very special part of the NSW Coast .” The Trust opposes any development within the visual catchment of the heritage village. (see attached).

The Progress Association also will ask the Premier and Mr Sartor to act on their stated “best intentions” and rescue the heritage village from obliteration by development.

Catherine Hill Bay celebrates in 2007 the 140 th anniversary of the discovery of coal in the cliff face near the surfing beach. The discovery initiated an underground coal mining industry that continued until 2001, first in primitive tunnels and then through industrial scale mining.

Gov to facilitate development at the Bay – Newcastle Herald – 3rd Oct 2006

“Government jettisons Coastal Policy, planning rules to facilitate development at the Bay”

This week or next the State Minister for Planning, Mr Sartor, intends to announce that about 10,000 hectares of privately-owned land in the Hunter Valley are to become parks in public ownership.

The announcement is likely to meet general acclaim. But there is a worm at the centre of this rosy apple, a worm that signifies something is rotten at the core.

What has happened is this: In February word leaked out in the media that Coal and Allied, Hardie Holdings and “various other big developers” had offered to Government large tracts of land which they own in exchange for development rights in “key areas”.

The “key areas” include places that are so environmentally significant that they provide their owners with inconvenient obstacles to development.

Among the developers is Rose Corp, whose 380 hectares stretch across the Wallarah Peninsula from the ocean to Lake Macquarie , wedged between the Catherine Hill Bay heritage village and Munmorah State Conservation Area.

Rose Corp’s “key area” for development is partly in Lake Macquarie city and partly in Wyong Shire. The Councils have imposed various forms of conservation zoning on the lands because of the area’s strategic and environmental significance.

Rose Corp’s 2004 proposal to Lake Macquarie Council included five storey units on the south headland, a “super” sports and licensed club and other residential.

Lake Macquarie Council rejected the development on 13 grounds one of which was that the proposal was “not in the interests of the public”. It was also contrary to the NSW Planning Act, to five State planning policies, two regional planning instruments and five council planning and management instruments.

Undaunted, Rose Corp appealed to the Land and Environment Court , which rejected all the company’s claims and dismissed its appeal.

By the time the Court announced its decision Rose Corp had already prepared a proposal for negotiation with the Government. Notwithstanding Council and Court decisions the amended proposal included the club, tourist accommodation, two storey residential and 150 houses tacked on to the heritage village between the sea and extending onto the headland.

Its proposal for adjoining land in Wyong Shire was for unspecified hundreds of dwellings on land currently zoned for nil development except at the discretion of the Minister, Mr Sartor.

Nobody is saying how many houses or how big. The actual scale of what is intended is hidden by the parties’ preference for an unspecific “development footprint” for the “key area” rather than an actuality which would dismay the public, some of whom believe that NSW has a Coastal Policy to guard against this type of deal.

All that is needed is for the Minister to change existing zonings from environmental and coastal protection to something which accommodates the developer’s ask.

The same convenient stroke of the pen is likely to give Hardie Holdings development rights at Sweetwater, an environmentally contested locality, and Coal and Allied rights to develop bush facing Crangan Bay , the last unspoiled bay left in Lake Macquarie . All this occurs, of course, without the transparency and public scrutiny (including assessment by the Court if required) that due process normally requires of ordinary mortals.

Mr Sartor has explained that his priority is to take advantage of an “historic opportunity” to turn privately owned land into parks and to strengthen the viability of the Lower Hunter Planning Strategy which is soon to be announced.

This is a reasonable political objective. But is such an aim, where details are scant , consequences sidelined and established planning policies cast aside, to the credit of the Government or consistent with open government in the interests of the community? In our view it signals yet another corruption of public policy and weakening of planning policy in the interest of developers.

The precedent it sets for Coastal Policy anywhere in NSW is disastrous.

In 2003 Rose Corp foreshadowed an extension of the existing Catherine Hill Bay village by 35 homes and a “coastal village” of 220 homes in Wyong Shire. Rose Corp has not won a single point of support from the community, Councils or Court since that time.

Despite its lack of success through due process its June 2006 proposal to Government upped the ante to almost 150 new dwellings at Catherine Hill Bay and unspecified hundreds more across the road in Wyong Shire.

At Catherine Hill Bay the state government is about to give wing to an “historic opportunity” which a year ago was correctly defined as being against the public interest.

Land & Environment Court July 2006

COURT REJECTS ROSECORP DA AT THE BAY!

The Land & Environment Court today dismissed RoseCorp’s appeal against Lake Macquarie City Council’s refusal of its development proposal at Catherine Hill Bay .

The proposed “super-club”, to be operated by Swansea RSL, and five story units on the Bay’s southern headland was rejected by LMCC in July 2005 as being contrary to 13 State, regional and City planning policies.

In January the Court’s preliminary judgement dismissed RoseCorp’s claim that it had “existing use rights” and that the 7(4) zoning permitted the proposal. Today’s decision (7th July 2006) related to whether the total development (including units) could be classified as a club (clubs are permitted in the Zone). The Judge considered much legal argument and decided that there were no grounds for appeal against the Council’s decision and dismissed the appeal.

THE PROGRESS ASSOCIATION COMMENTS:

The Court’s decision today (7th July 2006) is a significant win for coastal protection in NSW. If the Wallarah Peninsula , with all its protections and special qualities, falls to developers, no coastal site in NSW can consider itself safe from development.

The Progress Association has always believed that this proposal was a colossal try-on and could only succeed if the planning laws were subverted to accommodate it.

Lake Macquarie City Council officers and Councillors had the courage to stand up for State and city planning policies and to very ably defend Council’s decision in Court. Council is to be commended.

The battle for the Bay is not over, however.

This developer has a DA before Wyong Shire Council for about 1000 medium density units on an adjoining block which is zoned for NIL development and for coastal acquisition in the interests of the whole community.

Wyong Council is expected to move on this matter quickly now that the Court has ruled on the adjacent RoseCorp development in Lake Macquarie .